简谱网
>
歌谱
> 漂亮姑娘
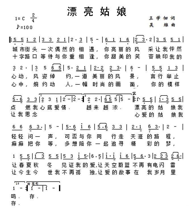
漂亮姑娘
词曲:
王学佃
相关歌谱
[歌谱]
漂亮姑娘
(1P 686x754 词曲:王学佃)
[歌谱]
我的漂亮姑娘
(1P 596x820 )
[钢琴谱]
漂亮姑娘雷格
雷格泰姆 (4P 826x1168 )
[歌谱]
漂亮的姑娘就要嫁人啦
(1P 897x1226 词曲:化石)
[歌谱]
漂亮的姑娘就要嫁人啦
龙猫组俣 (1P 690x1354 )
[吉他谱]
漂亮的姑娘就要嫁人了
(1P 800x2420 )
[歌谱]
漂亮的姑娘
(1P 1024x1481 词曲:苟华丰 单宝剑)
[歌谱]
小花 蔡体润曲
(1P 1240x1600 词曲:王学佃)
[歌谱]
明珠邛崃
(1P 726x704 词曲:王学佃)
[歌谱]
相约衢州
(1P 861x1667 词曲:王学佃)
[二胡谱,歌谱]
漂亮的姑娘就要嫁人了啦
龙猫组合 (1P 690x1354 )
[歌谱]
漂亮的大姑娘
(1P 801x1227 词曲:青山竹叶 心约乐曲)
[歌谱,吉他谱]
漂亮的姑娘就要嫁人啦
龙梅子 老猫 (1P 897x1226 词曲:老猫 化石)
[歌谱]
漂亮的大姑娘
(1P 801x1227 词曲:青山竹叶 心约乐曲)
[歌谱]
漂亮的姑娘痴情的郎
(1P 743x849 词曲:海浪飞歌 谢广娟)
[歌谱]
漂亮的姑娘就要嫁人了啦
龙猫组合 (1P 897x1268 词曲:老猫 化石)
赞助商链接