简谱网 >
歌谱
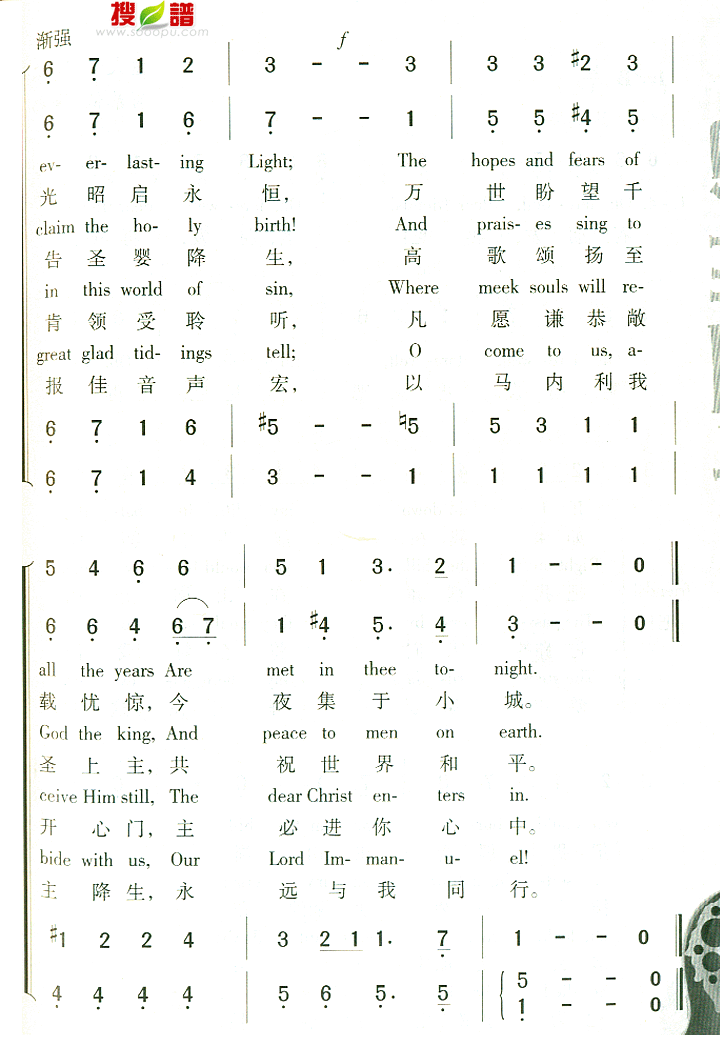
> A Little Town Of Bethlehem
A Little Town Of Bethlehem
记谱/传谱:
相关歌谱
- [歌谱] A Little Town Of Bethlehem
(3P 720x1174 )
- [钢琴谱] A Little Jazz
(1P 630x678 )
- [钢琴谱,歌谱] A Little Wish
AlfredAria (3P 670x932 )
- [钢琴谱,歌谱] A Princess Of Goguryeo
(4P 695x982 )
- [歌谱,萨克斯谱] A Whiter Shade Of Pale
(1P 904x1104 )
- [萨克斯谱] With A Little Help From My Friends
(1P 850x893 )
- [钢琴谱] A Little While
血腥残阳 (9P 630x924 )
- [歌谱,萨克斯谱] With A Little Help From My Friends
(1P 850x893 )
- [钢琴谱,歌谱] A Scene Of La Seine
Yuhki Kuramoto (4P 630x840 )
- [钢琴谱,歌谱] A Scene Of La Seine
Yuhki Kuramoto (7P 630x837 )
- [钢琴谱,歌谱] A Distant Shade Of Green
Kevin Kern (6P 630x879 )
- [钢琴谱,歌谱] 多一点 A Little More
(1P 1654x2339 )
- [钢琴谱] OXRC 革命怪客 A Fistful Of Dynamite
克莱德曼 (5P 670x867 )
- [钢琴谱] He Was A Friend Of Mine 电影 断臂山 片尾曲
威利 纳尔逊 (4P 1608x2259 )
- [钢琴谱,歌谱] Little star
(5P 630x837 )
- [钢琴谱,歌谱] Little Busters
(9P 695x982 )
赞助商链接