相关歌谱
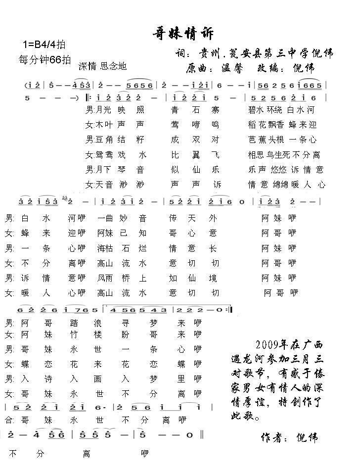
- [歌谱] 哥妹情诉
(1P 720x960 词曲:倪伟)
- [歌谱] 故乡童谣
(1P 691x1001 词曲:倪伟)
- [歌谱] 春韵朱家山
倪伟 (2P 553x705 词曲:倪伟)
- [歌谱] 重返荷塘
倪伟 (1P 720x960 词曲:倪伟)
- [歌谱] 思乡的情结
残仁龙 (1P 720x960 词曲:倪伟)
- [歌谱] 思乡的情结
残仁龙 (1P 1140x1198 词曲:倪伟)
- [歌谱] 我可爱的家乡
(1P 654x778 词曲:倪伟)
- [歌谱] 我可爱的家乡
(1P 585x800 词曲:赵海远 倪伟)
- [歌谱] 重返荷塘其他
(1P 720x960 词曲:倪伟)
- [歌谱] 只许你想 不许你说
(1P 541x804 词曲:倪伟德)
赞助商链接