简谱网
>
歌谱
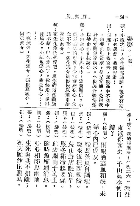
> 秦腔 西厢记 41 55
秦腔 西厢记 41 55
相关歌谱
[歌谱,秦腔谱]
秦腔 西厢记 41 55
(15P 459x690 )
[歌谱,秦腔谱]
秦腔 西厢记 21 40
(20P 493x690 )
[歌谱,秦腔谱]
秦腔 林冲 41 55
(15P 473x690 )
[歌谱,秦腔谱]
秦腔 西厢记 前言1 20
(22P 462x690 )
[歌谱,豫剧谱]
十二场豫剧 西厢记 含 41 60
(20P 542x690 )
[歌谱]
西厢记 阎学晶
阎学晶 (1P 592x941 )
[京剧谱,评剧谱,越剧谱]
西厢记 京剧
(3P 770x1000 )
[歌谱]
西厢记 先只说迎张郎
(2P 490x689 )
[歌谱]
拷红 西厢记
(3P 591x737 )
[歌谱]
西厢记 跳墙 1 6
(6P 705x963 )
[歌谱]
西厢记 跳墙 7 12
(6P 702x957 )
[歌谱]
西厢记 跳墙 13 18
(5P 704x954 )
[歌谱]
西厢记 游殿 1 7
(7P 583x935 )
[歌谱]
西厢记 游殿 8 14
(7P 591x946 )
[歌谱]
西厢记 游殿 15 21
(7P 584x941 )
[歌谱]
西厢记 寄柬 1 8
(8P 702x960 )
赞助商链接