简谱网
>
歌谱
> 家乡的青草地 美国民歌
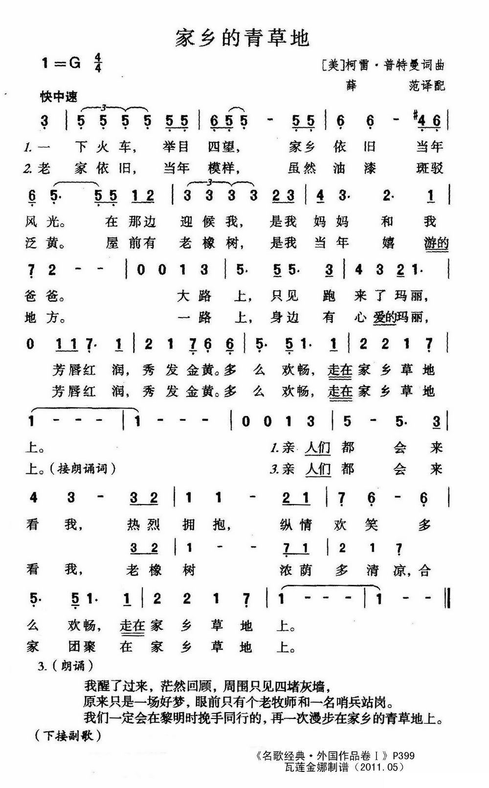
家乡的青草地 美国民歌
记谱/传谱:
瓦莲金娜
相关歌谱
[歌谱]
家乡的青草地 美国民歌
(2P 800x503 )
[歌谱]
家乡的青草地
(1P 496x800 )
[歌谱]
家乡的青草地
(1P 496x800 )
[钢琴谱]
美国民歌 牧场上的家
(1P 558x805 )
[歌谱]
美 美丽的姑娘
(1P 790x1119 词曲:美国民歌)
[钢琴谱]
美国民歌 牧场上的家
(1P 558x805 )
[歌谱]
山腰上的家
(1P 727x898 词曲:美国民歌)
[歌谱]
艾琳 晚安
(1P 817x1067 词曲:美国民歌)
[电子琴谱]
扬基歌 美国民歌
(1P 558x359 )
[电子琴谱,歌谱]
扬基歌 美国民歌
(1P 558x359 )
[电子琴谱]
扬基歌 美国民歌
(1P 558x359 )
[歌谱]
奥勒李 美国民歌
(1P 825x991 词曲:美国民歌)
[笛子谱,箫谱]
念故乡 美国民歌 箫
(1P 698x376 )
[歌谱]
美国民歌 念故乡
(1P 629x784 )
[钢琴谱]
美国民歌 儿童钢琴小曲
(1P 596x465 )
[歌谱]
绿袖子 美国民歌
(1P 599x889 )
赞助商链接