简谱网
>
歌谱
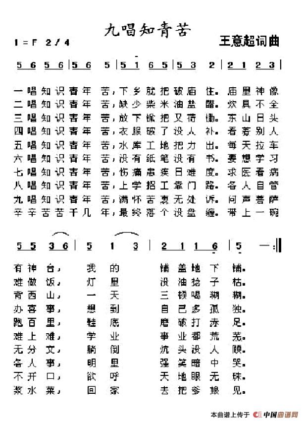
> 知青小唱 又名 九唱知青苦
知青小唱 又名 九唱知青苦
演唱:
王同庆
词曲:
王意超
相关歌谱
[歌谱]
小小流浪狗
赵天宇 王同庆 (1P 660x920 词曲:王意超)
[歌谱]
祖国新疆好地方
王同庆 赵天宇 (1P 624x1619 词曲:王意超 王意超)
[歌谱]
夜猫子挖坑
(1P 657x729 词曲:王同庆)
[歌谱]
知青小唱
张亦弛 (1P 1190x1416 词曲:任雪)
[歌谱]
知青小唱
知青小 (1P 1190x1416 词曲:亦驰 任雪)
[歌谱]
知青小唱
张亦弛 (1P 1024x1218 词曲:亦弛 任雪)
[歌谱]
良宵 又名 除夜小唱
除夜小 (1P 659x806 )
[二胡谱]
良宵 又名 除夜小唱
除夜小 (1P 659x806 )
[歌谱]
鄂伦春小唱 又名 鄂伦春小调
鄂伦春小 (3P 744x648 )
[笛子谱,二胡谱,歌谱,箫谱]
良宵 又名 除夜小唱
除夜小 (1P 659x806 )
[二胡谱]
良宵 又名 除夜小唱
除夜小 (1P 659x806 )
[二胡谱]
良宵 又名 除夜小唱
除夜小 (1P 659x806 )
[扬琴谱]
良宵 又名 除夜小唱 扬琴伴奏谱
除夜小 (3P 700x922 )
[歌谱]
百游不腻九宫山 又名 九宫揽胜
(1P 721x1107 )
[歌谱]
小九连环 又名 蝴蝶飞来又飞去
黄捷 (1P 663x844 词曲:苏州民歌)
[歌谱]
海南 与天下同欢 又名 与天下同欢
(1P 707x1195 )
赞助商链接