简谱网
>
歌谱
> 我要回去
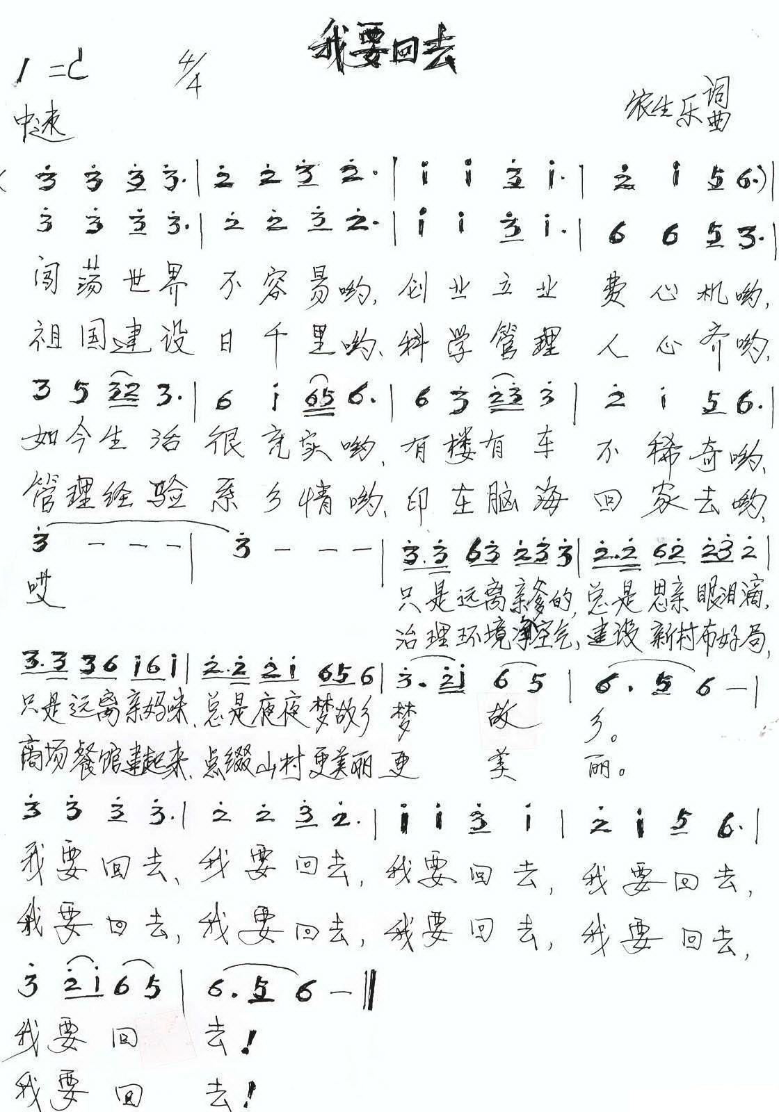
我要回去
词曲:
农生乐
记谱/传谱:
农生乐
相关歌谱
[歌谱]
我一定要回去
张妮 (1P 702x648 )
[歌谱]
我一定要回去 标准谱
(1P 722x757 )
[歌谱]
我要回到家乡去
苏小明 (1P 700x845 )
[歌谱]
祖国 我一定要回去
(1P 759x896 词曲:郑宝春)
[歌谱]
祖国 我一定要回去
(3P 930x1351 词曲:郑宝春)
[歌谱]
我一定要回去
张妮 (1P 651x709 )
[歌谱]
我要回到家乡去
(1P 790x1119 词曲:陈朝晖)
[歌谱]
我一定要回去 标准谱
(1P 722x757 )
[歌谱]
我要回到家乡去
(1P 759x851 词曲:陈意 蔡佳倩)
[歌谱]
我一定要回去
(1P 800x1311 词曲:张智深 郑宝春)
[歌谱]
打工落选歌曲 我要回到家乡去
(1P 790x1119 )
[钢琴谱]
我一定要回去 钢琴伴奏谱
(3P 1253x1883 )
[歌谱]
我一定要回去 标准谱
张妮 (1P 722x757 )
[歌谱]
我赞美晶莹的白雪
(1P 1200x1856 词曲:农生乐)
[歌谱]
我要回家
(1P 500x864 )
[歌谱]
我要回家
(2P 597x813 )
赞助商链接