简谱网
>
歌谱
> 顺心如意
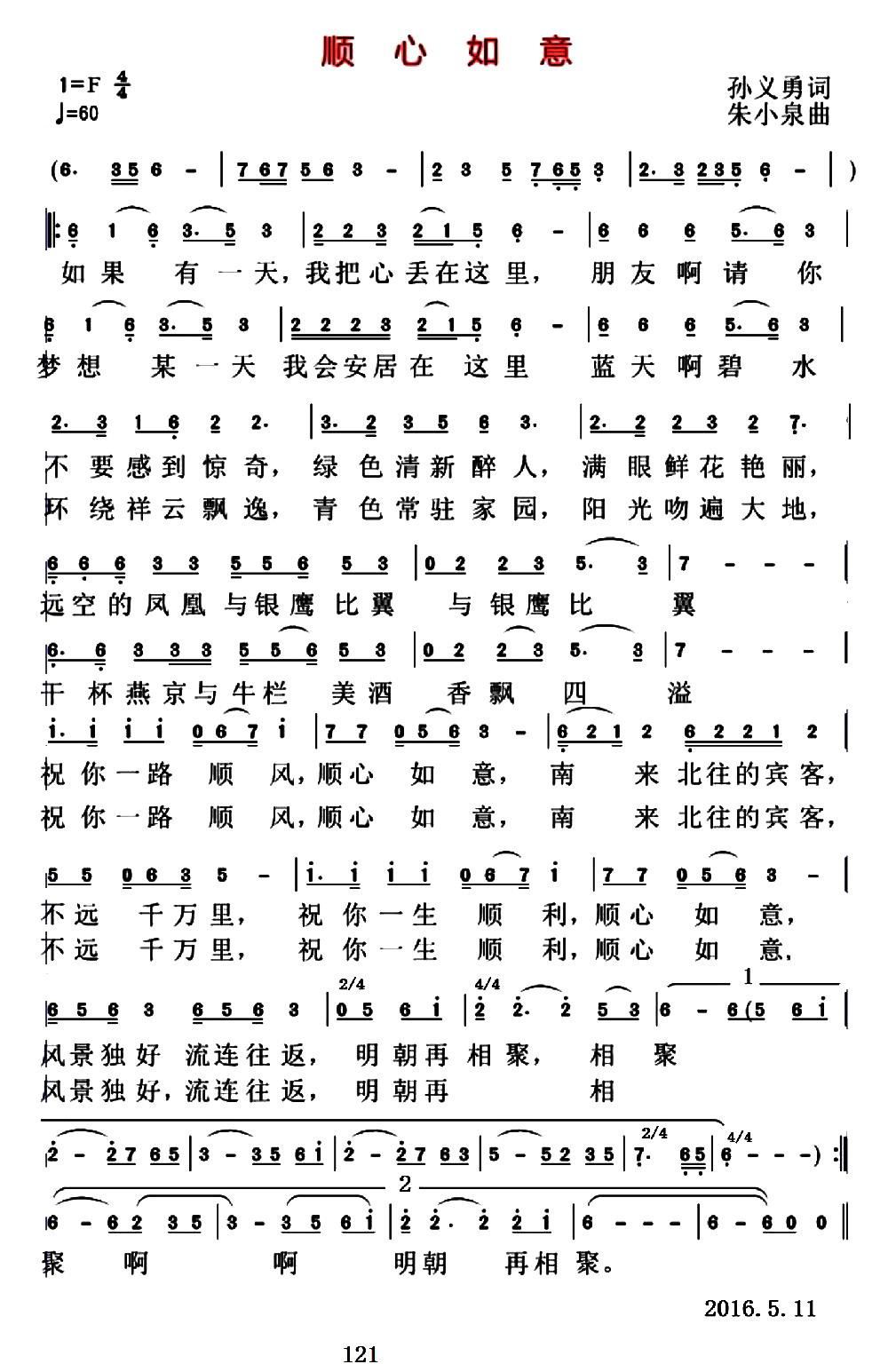
顺心如意
词曲:
张义勇
相关歌谱
[歌谱]
如意东方
常思思 (1P 905x1311 词曲:张伟 符海)
[钢琴谱]
如意星
(1P 600x676 )
[歌谱]
如意河
(2P 743x1014 )
[歌谱]
如意河
(1P 727x1289 )
[歌谱]
如意娘
(1P 792x1121 )
[歌谱]
朝花夕拾 我的如意狼君 主题曲 张德兰
张德兰 (1P 688x729 )
[歌谱]
朝花夕拾 我的如意狼君 主题曲
张德兰 (1P 688x729 词曲:邓智伟)
[歌谱]
朝花夕拾 电视剧 我的如意狼君 主题曲
张德兰 (1P 688x729 )
[古筝谱]
四合如意
(4P 728x985 )
[歌谱]
如意河
(1P 727x1289 词曲:崔增录)
[古筝谱]
四合如意
(4P 800x1028 )
[歌谱,古筝谱]
四合如意
(5P 728x1200 )
[歌谱]
如意东方
常思思 (1P 784x1136 )
[总谱]
如意 影片 如意 主题曲
(1P 2444x3376 )
[歌谱]
如意花
(1P 1481x1802 词曲:颂今)
[歌谱]
神奇的如意花
(2P 1024x1131 )
赞助商链接